전기 기초수학에서 실수의 정의 및 실수연산
실수의 사전적 간단한 정의는 자연수,정수,유리수,무리수를 포함하는 수를 말한다.
1. 거듭제곱

* n,m이 자연수(양수)일때만 가능

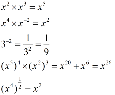
a의 n승 x a의m승일경우 a의 n+m승으로 해준다.

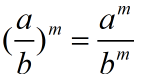
내부의 a의 n승가로밖의m승일경우 a의 nxm승으로 해준다.

ab의 가로밖의n승일경우 , 개별적으로 a의 n승x b의 n승으로 해준다.

나누기는 빼기로 해주면 된다, a의 n승 나누기 a의m승일경우 -> a의 n-m승으로 해준다.

b분에a의 가로밖의 m승일경우 분모,분자에 가각 m승을 해주어서 b의m승분에 a의m승으로 해준다.

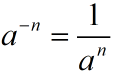
a의 -n승일경우는 분수로 처리가 가능하므로, a의 n승분에 1로 해준다.

a의 0승 무조건 1이다.
ex) 거듭제곱 사용예들

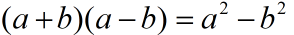
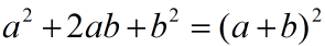
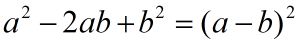
2. 곱셈 공식
자주 쓰이니 공식이니, 이해 후 암기 필수
기본곱셈공식




ex) 곱셈공식 사용한 예들





3. 인수 분해 공식
위의 곱셈공식에서 나온 값을 기준으로 원래의 식으로 되돌리는 과정
기본 인수분해공식
암기하는게 좋다





ex)인수분해 예



전기수학에서 실수의 연산에서 자주사용되는식이므로
외워두면 좋다
2020/02/08 - [전기기사/전기기초수학] - 전기 기초수학 - 수의 종류 유리수의 사칙연산
전기 기초수학 - 수의 종류 유리수의 사칙연산
전기 기초수학에서 유리수 : 나눗셈을 할수 있도록 이치에 맞는 '유'려한 수 정수는 덧셈,뺄셈,곱셈은 가능하나, 나눗셈이 안된다. 분수로 표시를 해야 될때 정수로는 안되어서 , 이때 사용하는 수가 유리수이다 ,..
hotcoffee.tistory.com
'전기기사 > 전기기초수학' 카테고리의 다른 글
| 전기기초수학 - 무리수란? 무리수 연산 (0) | 2020.02.22 |
|---|---|
| 전기 기초수학 - 수의 종류들 (정수,유리수,무리수,실수,허수,복소수) (0) | 2020.02.15 |
| 전기 기초수학 - 수의 종류 유리수의 사칙연산 (0) | 2020.02.08 |
댓글